IT-290

Formel aus:
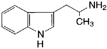
(53/317, 101/565)
Andere Namen:
alpha-Methyltryptamin, (23, 53/317, 62, 101/565) AMT; (53/317, 62) alpha-MT; Tryptamine, alpha-methyl; Indole, 3-(2-aminopropyl); 3-(2-Aminopropyl)indole, IT-290, 3-IT. (101/565)
Spezifikation:
Die Summenformel betraegt C11H16N2. (eigen)
Wirkungen:
In dem Sammelwerk "Rausch und Erkenntnis" aus dem Goldmann Verlag gibt es einen Bericht ueber die subjektiv erlebten Veraenderungen durch das Mittel IT-290:
25-30 mg Base: Nach der Einnahme stellte sich dieses DMT-artige Sehen ein. Es entwickelte sich ein Gluecksgefuehl und Farbintensivierungen. Zum Teil sind mystische Gedanken aufgekommen, im Zusammenhang mit Begebenheiten aus der Vergangenheit. Dann wurde von Tod und Leben, Gut und Boese, Recht und Unrecht gesprochen. Es gab auch analysierende Gedanken, die sich auf die aufgedeckten Ebenen bezogen. Verstaerkte Gefuehle auch zum Hier und Jetzt. Diese Telegraphenmaste kamen mir wie in die Landschaft gesetzte Panzer vor. Science-fiction-Visionen, spirituelle Visionen, das Gefuehl, in eine spirituelle Handlungsweise der Meschheit versponnen zu sein, etwas zu tun, was einem hoeheren Willen entspringt. Der Weg zur Party war maerchenhaft, als wenn uns etwas dorthin ziehen wuerde. Auf der Party hatte ich das Gefuehl, dass es Moeglichkeiten zur Mitteilung auf sehr hohen Ebenen gibt, die mit den herkoemmlichen Methoden des Kommunizierens nicht zu vergleichen sind. Ich konnte die Anwesenheit der anderen einfach auf mich wirken lassen, und dadurch kam es dann zu Kommunikation auf anderen Ebenen. Ich fand das gut. So etwas hatte ich noch nie erlebt. Ich hatte nicht das Gefuehl, dass es dort Eifersuechteleien oder Konkurrenzgedanken gegeben hat, und deshalb konnte man es frei fliessen lassen. Ein kosmisches Bewusstsein ueber Gut und Boese, das ich als Strahlung definieren koennte. Das Gute hat Strahlung, das Boese eben nicht. Was strahlt, kann mit einer Art Kraftzentrum vereinigt sein. So koennte ich das Leben erklaeren. Was Strahlung hat, lebt. Die Strahlung schaukelt einen zu immer hoeheren Ebenen hinauf. In der Regel kann man nur eine Stufe hoeher oder runter, es sei denn, Gewalt wirkt ein. (9)
Laut Ken Kesey produziert es einen Trip wie Psilocybin, aber feiner, aber manche finden es unangenehm. (23)
Ebenso bestaetigt W. Katzung eine halluzinogene Wirkung der Substanz. (53/109)
J. Ott publizierte folgende Bemerkungen ueber IT-290: Es ist ein MAO-Hemmer (des Enzyms Monoaminoxidase), der die gleich stark hemmende Wirkung wie das Antidepressivum Iproniazid hat. (57) Die Droge stimuliert langanhaltend bei einer 20 mg Dosis. (57, 62) J. Ott stellt fest, dass die Stimulationswirkung aehnlich wie bei Amphetamin (Speed) ist. (62)
Dosis:
25-30 mg Base (9) 30 mg oral (23) 20 mg (62)
Wirkungsdauer:
In "Psychedelic Chemistry" wird nur von einer zwoelfstuendigen Wirkdauer gesprochen, (23) J. Ott gibt hingegen in seinem Werk "Pharmacotheon" die Dauer der Wirkung mit 24h an. (62)
Sucht:
Die Ausbildung einer koerperlichen Abhaengigkeit ist nicht bekannt. (eigen)
Geschichte:
Die Wirkung der Rauschdroge wurde bekannt durch die veroeffentlichte Beschreibung der Busodysee durch die Merry Pranksters. (62) Dies war eine Gruppe von Menschen, unter ihnen Ken Kesey, die einen Bus anmalten, Musik machten, Drogen nahmen,und eine humorvolle Reise in den 60Žer Jahren durch Amerika machten - im Zeitalter der Hippiekultur. Die Reise wurde in einem Buch festgehalten. (eigen)

