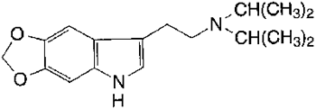
5,6-Methylendioxy-DIPT

Formel aus:
(101/503)
Andere Namen:
Tryptamine, N,N-diisopropyl-5,6-methylenedioxy; Indole, 3-[2-(Diisopropylamino)ethyl]-5,6-methylenedioxy; N,N-Diisopropyl-5,6-methylenedioxytryptamine; 3-[2-(Diisopropylamino)ethyl]-5,6-methylenedioxyindole; 5H-1,3-Dioxolo-[4,5-F]indole-7-ethaneamine, N,N-diisopropyl; (101/503) 5,6-Methylendioxy-diisopropyltryptamin. (eigen)
Sucht:
Ueber diese Substanz ist in der gesamten wissenschaftlichen Literatur kein Bericht ueber eine koerperliche oder psychische Abhaengigkeit erschienen. (eigen)

