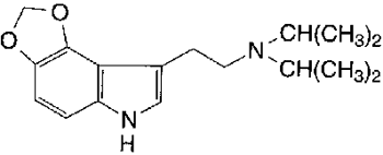
4,5-Methylendioxy-DIPT

Formel aus:
(101/502)
Andere Namen:
Tryptamine, N,N-diisopropyl-4,5-methylenedioxy; Indole, 3-[2-(diisopropylamino)ethyl]-4,5-methylenedioxy; N,N-Diisopropyl-4,5-methylenedioxytryptamine; 3-[2-(Diisopropylamino)ethyl]-4,5-methylenedioxyindole; 5H-1,3-Dioxolo-[4,5-E]indole-7-ethaneamine, N,N-diisopropyl. (101/502)
Sucht:
Von dieser Substanz gibt es in der gesamten wissenschaftlichen Literatur keine Erwaehnung einer koerperlichen oder psychischen Abhaengigkeit. (eigen)

